简历:
巴卡漫画
化学系本科毕业。2004年在中国科学院成都有机化学研究所获有机化学博士学位。2005-2007年在美国马里兰大学(University of Maryland, College Park)化学与生物化学系进行博士后研究。2007-2011年在美国斯克普利斯研究所(The Scripps Research Institute)担任助理研究员。2011年,作为巴卡漫画
引进人才回国工作,从事教学科研工作。2013年至今,开始独立进行科研工作。
主要研究方向:
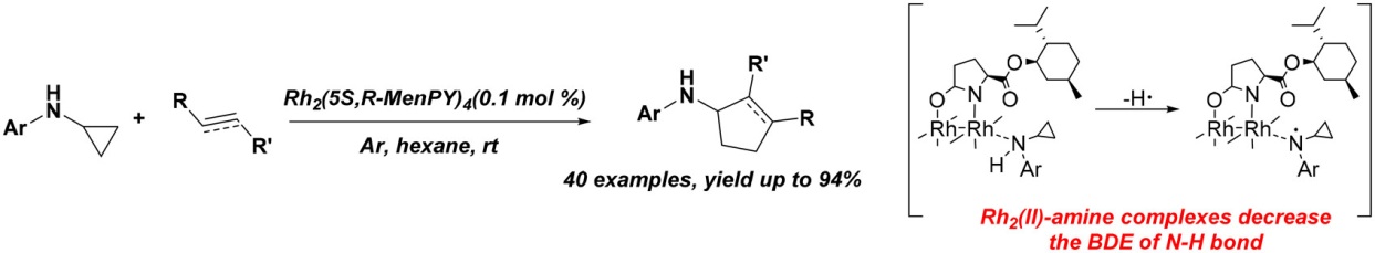
课题组研究围绕过渡金属催化烯烃和烷烃的选择性官能化反应展开,重点探索金属自由基反应在碳氧键形成和碳氮键形成中的应用;基于双核铑金属的单电子氧化反应,提出了不同于经典的双核铑卡宾,氮宾中间体的新反应模式,发展了基于双核铑单电子氧化中间体的高效绿色氧化和碳氮键形成反应。利用高价金属化学策略,基于稳定双铑化合物的结构特点,从金属配合物的定量反应来探索活性中间体的微观结构和反应成键模式,建立与催化反应直接的直接关系,发展新型高效的金属催化剂。
主要工作业绩
科研工作方面
课题组近十年来在基础研究方面着重于开发绿色高效的有机合成新方法,特别是利用金属双核配合物的自由基反应开发具有高度选择性的、催化剂可回收的新催化反应体系,实现化学反应的精准合成,发展了一系列高效的自由基反应,如烯丙基氧化,硫醚氧化,芳基醛与烯烃,过氧叔丁醇的三组分偶联反应,氨基自由基的(3+2)环加成反应,异喹啉的1,4-双官能化,芳基和芳基醛化合物的直接叠氮化反应等,通过自由基连续反应,极性交叉等合成手段,实现了不饱和烯烃、简单烷烃、张力环的C-H官能团化,提高了催化效率和反应选择性,为合成在生物医药,材料科学等领域有潜在应用价值的分子骨架提供了新的途径。
教学工作方面
承担有机化学V,有机化学实验及工科有机化学实验教学工作。已培养硕士研究生10人,其中7人已毕业并获得学位,一人次获国家奖学金,五人次巴卡漫画
一等奖学金,联合培养博士生三名。参与本科生科研训练,指导本科生毕业论文,担任本科生互联网+学科竞赛活动的指导老师。
主持科研项目情况
1. 作为项目负责人主持国家自然科学基金面上项目“轴向配体对双核铑金属化合物的影响及相关反应研究”,21272162
2. 巴卡漫画
引进人才科研基金
3. 作为项目负责人主持多项与企业合作项目。
代表性成果 (获奖成果、专著、论文、专利)
1. Liu, X. Y., Wang, Z. F., Wang, Q. W. Wang, Y. H.*, Rhodium(II)‐Catalyzed C(sp3)–H Diamination of Arylcyclobutanes. Angew. Chem. Int. Ed. 2022. DOI: 10.1002/anie.202205493.

2. Wang, Z. F., Yang, B. Q., Yang, Q., Wang, Y. H.* C(sp3)–H 1,3-diamination of cumene derivatives catalyzed by a dirhodium(ii) catalyst. Org. Chem. Front. 2022. DOI:10.1039/D2QO00461E.
3. Fan, Z. Y., Wang, Z. F., Shi, R. Y., Wang, Y. H.* Dirhodium(ii)-catalyzed diamination reaction via a free radical pathway. Org. Chem. Front. 2021, 8, 5098-5104.
4. Ning, Y.-B., Tan, J.-T., Wang, Z.-F., Wang, Y.-H.*, Fine-tuning dirhodium compounds with bridging ligands: Synthesis, structure, catalytic efficiency. J. Organomet. Chem. 2021, 122078, 954.
5. Wang, Y., Fang Z.X., Chen, X. C., and Wang, Y. H.* “Dirhodium(II)-Catalyzed C(sp2)-H Azidation of Benzaldehydes” Chemistry-A European Journal, 2020, 26, 6805. (Front Cover)


6. Wang, Y., Chen, X. C., Jin, H.* and Wang, Y. H.* “Mild and Practical Dirhodium(II)/NHPI‐Mediated Allylic and Benzylic Oxidations with Air as the Oxidant” Chemistry—A European Journal, 2019, 10.1002/chem.201902739 (Front Cover)

7. Liu, W. T., Kuang, Y., Wang, Z. F., Zhu, J, Wang, Y. H.* “Dirhodium(II)-catalyzed [3 + 2] cycloaddition of N-arylaminocyclopropane with alkyne derivatives” Beilsten Journal of Organic Chemistry, 2019, 15, 542.
8. Fang, Z. X., Wang, Y., Wang, Y. H.* “Synthesis of 4-Iodoisoquinolin-1(2H)-ones by a Dirhodium(II)-Catalyzed 1,4-Bisfunctionalization of Isoquinolinium Iodide Salts” Organic Letters, 2019, 21, 434.

9. Wang, Y., Fang, Z. X., Chen, X. C*, Wang, Y. H.* “Mild Dirhodium(II)-Catalyzed Chemo- and Regioselective Azidation of Arenes” Organic Letters, 2018, 20, 5732. (Highlighted by www.organic-chemistry.org)

10. Ma, Z. L., Wang, Y. H.* “Dirhodium(II)/P(t-Bu)3 catalyzed tandem reaction of α,β-unsaturated aldehydes with arylboronic acids” Organic & Biomolecular Chemistry , 2018, 16, 7470.
11. Kuang, Y., Ning, Y. B., Zhu, J and Wang, Y. H.* “Dirhodium(II)-Catalyzed (3 + 2) Cycloaddition of the N-Arylaminocyclopropane with Alkene Derivatives” Organic Letters, 2018, 20, 2693.

12. Zhao, L. L., Wang, Y., Ma, Z. L., Wang, Y. H.* “Dirhodium(II)-Catalyzed Carbonylation Peroxidation of α, β-Unsaturated Esters: Mechanistic Insight into the Role of Aryl Aldehydes” Inorganic Chemistry, 2017, 56, 8166.

13. Wang, Y., Kuang, Y., Zhang, H. Y., Ma, R. C., Wang, Y. H.* “Recyclable Dirhodium(II) Catalyst Rh2(esp)2 for the Allylic Oxidation of Δ5-Steroids” Journal of Organic Chemistry, 2017, 82, 4729.
14. Tan, J. T., Kuang, Y., Wang, Y., Huang, Q.*, Zhu, J., Wang, Y. H.* “Axial Tri-tert-butylphosphane Coordination to Rh2(OAc)4: Synthesis, Structure, and Catalytic Studies” Organometallics, 2016, 35, 3139.
15. Zhao, L. L., Zhang, H. Y., Wang, Y. H.* “Dirhodium(II)-Catalyzed Sulfide Oxygenations: Catalyst Removal by Coprecipitation with Sulfoxides” Journal of Organic Chemistry, 2016, 81, 129. (Highlighted by X-MOL, www.organic-chemistry.org)
16. Wang, Y., Kuang, Y., Wang, Y. H.* “Rh2(esp)2-catalyzed allylic and benzylic oxidations” Chemical Communication, 2015, 51, 5852.
17. Kuang Y., Wang, Y. H.* “Dirhodium(II)-catalyzed Cross-Coupling Reactions of Aryl Aldehydes with Arylboronic Acids in Water” European Journal of Organic Chemistry, 2014, 1163.
18. 高效氧化α-异佛尔酮制备氧代异佛尔酮. 王元桦, 王毅, 匡益. 专利号ZL 2014 1 0634873. 8. (2017年10月授权)
19. Yuanhua Wang, Joffrey Wolf, Peter Zavalij, and Michael P. Doyle, Cationic Chiral Dirhodium Carboxamidates are Activated for Lewis Acid Catalysis, Angew. Chem., Int. Ed. 2008, 47,1439. (Highted by SYNFACTS)
20. Yuanhua Wang, Zhiyong Chen, Aiqiao Mi and Wenhao Hu, Novel C-C Bond Formation through Addition Of Ammonium Ylides to Arylaldehydes: An Facile Approach to b-Aryl-b-Hydroxy a-Amino Acids Framework, Chem. Comm., 2004, 2486.
21. Yuanhua Wang, Yanxin Zhu, Zhiyong Chen, Aiqiao Mi, Wenhao Hu and Michael P. Doyle, A Novel Three-Component Reaction Catalyzed by Dirhodium(II) Acetate: Decomposition of Phenyldiazoacetate with Arylamine and Imine for Highly Diastereoselective Synthesis of 1,2-Diamines, Org. Lett., 2003, 3923.
22. Michael P. Doyle, Yuanhua Wang, P. Ghorbani, E. Bappert, Amplification of asymmetric induction in sequential reactions of bis-diazoacetates catalyzed by chiral dirhodium(II) carboxamidates, Org. Lett., 2005, 5035.
23. T. M. Weathers, Yuanhua Wang, Michael P. Doyle, Polyether macrocycles from intramolecular cyclopropanation and ylide formation. Effect of catalyst and coordination, J. Org. Chem., 2006, 8183.
24. Haoxi Huang, Yuanhua Wang, Zhiyong Chen, Wenhao Hu, C-N Bond Formation Of Ammonium Ylides, Advanced Synthesis & Catalysis, 2005, 531.
25. Haoxi Huang, Yuanhua Wang, Zhiyong Chen, Wenhao Hu, A Novel Synthesis of Aryl Alpha-imino Esters from Aryl Diazoacetate, Synlett, 2005, 2498.
26. Michael P. Doyle, T. M. Weathers, Yuanhua Wang, Stereoselectivity in metal carbene addition to a carbon-carbon triple bond tied to the reactant diazoacetate through a chiral linker, Advanced Synthesis & Catalysis, 2006, 2403.
27. Yongli Yue, Yuanhua Wang, Wenhao Hu, Regioselectivity in Lewis acids catalyzed X–H (O, S, N) insertions of methyl styryldiazoacetate with benzyl alcohol, benzyl thiol, and aniline, Tetrahedron Lett. 2007, 3975.
28. Yanxin Zhu, Yuanhua Wang, Zhiyong Chen, Wenhao Hu, Unexpected Side Reaction in the Intermolecular N-H Insertion of Phenyl Diazoacetates with Arylamines, Chin. Chem. Lett., 2005, 307.